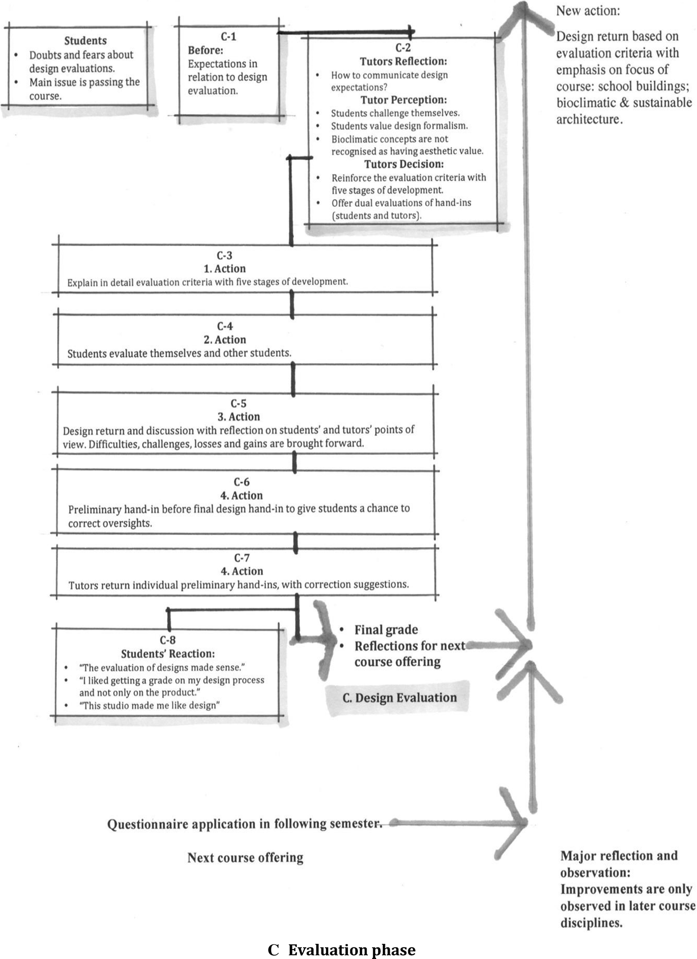
Aesthetic Tutor - Diploma di specializzazione in estetica membro del consiglio direttivo della società italiana di medicina del.